• Предмет: Алгебра
  • Автор: dobrayabanditka1
  • Вопрос задан 7 лет назад

Помоги пожалуйста!. Срочно
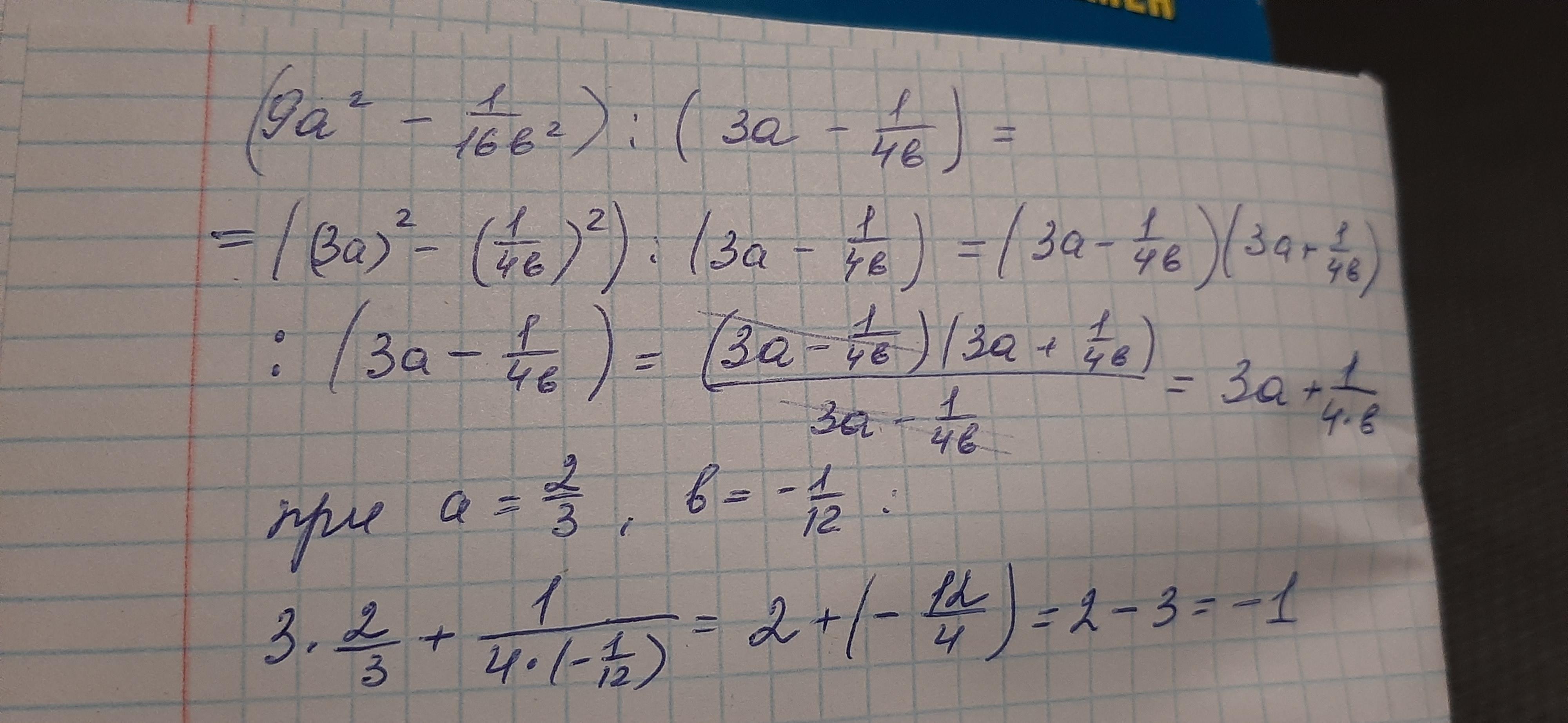
Найдите значение выражения:
(9a²-1/16b²):(3a-1/4b) при а=2/3 и b= -1/12​

Приложения:

Ответы

Ответ дал: Evreika77
2

Ответ:

Объяснение:

Смотри

Приложения:

sanyayaremenko01: Evreika77 ПОмоги мне 25 баллов пожалуйста
Вас заинтересует