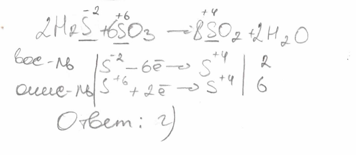
Коэфицент перед окислителем в уравнении H2S+SO3->SO2+H2O равен
а)2   б)5   в)3   г)6
Расставьте коэфиценты в уравнении методом электронного баланса 
Помогите пожалуйста.. 
Ответы
                                            Ответ дал: 
                                                                                    
                                        
                                            
                                                
                                                
                                                
                                                    0
                                                
                                            
                                        
                                    
                                        ,,,,,,,,,,,,,,,,,,,,
                                    
                                                Приложения:
                    
                            Вас заинтересует
                
                        2 года назад
                    
                
                        2 года назад
                    
                
                        8 лет назад
                    
                
                        8 лет назад
                    
                
                        10 лет назад
                    
                
                        10 лет назад
                    
                
                        10 лет назад