• Предмет: Алгебра
  • Автор: sergejprokopev193
  • Вопрос задан 7 лет назад

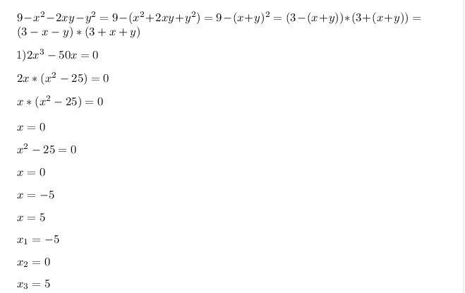
9-x^2-2xy-y help
пожалуйста ​

Ответы

Ответ дал: LogganMasters
1

Ответ:  Прикрепил, пожалуйста!

Приложения:
Вас заинтересует