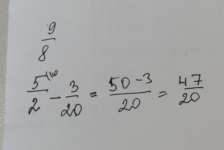
Найдите значение выражения дробь: числитель: 9, знаменатель: 8 конец дроби : дробь: числитель: 5, знаменатель: 2 конец дроби минус дробь: числитель: 3, знаменатель: 20 конец дроби . Ответ запишите в виде несократимой дроби.
Ответ:
Ответы
Ответ дал:
1
Ответ:
смотрите фото
Пошаговое объяснение:
смотрите фото
если правильно поняла задание не понятно что с 9/8 делать
Приложения:

Вас заинтересует
2 года назад
2 года назад
2 года назад
8 лет назад
8 лет назад
9 лет назад
9 лет назад