• Предмет: Алгебра
  • Автор: polinabogusevic5
  • Вопрос задан 7 лет назад

Решите уравнение пж -4х²+20=0
Даю 15 балов
Нужно просто решение и ответ

Ответы

Ответ дал: daniilbaks9
1

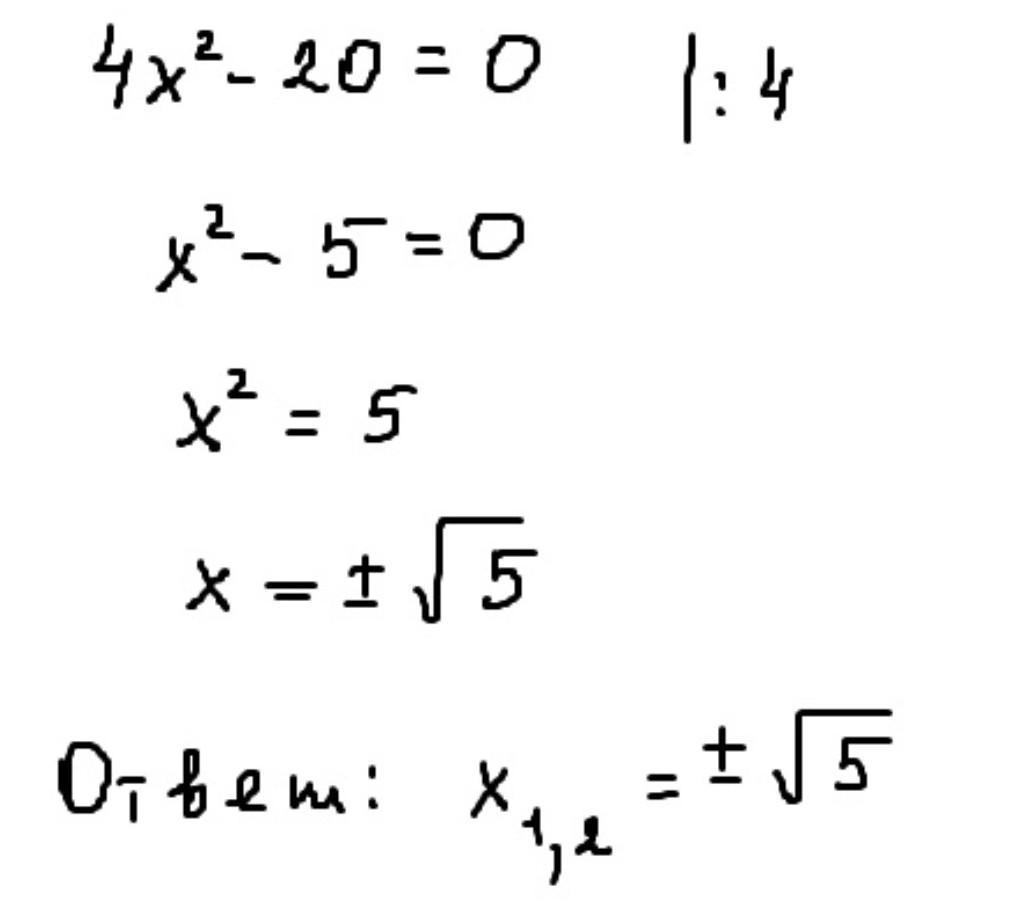
Ответ:

решение на фотографии мотт

Приложения:
Ответ дал: liza40russs
1

-4х²+20=0

х²-5=0

х²2=5

х=±5

х=|5|

х=-|5|

ответ: х¹=5; х²= -5

Вас заинтересует