• Предмет: Алгебра
  • Автор: izmailgorod
  • Вопрос задан 7 лет назад

Найдите СУММУ первых ста двадцати членов арифметической прогрессии (сn.) ,Заданных формулой:
Сn = 3n -2

Ответы

Ответ дал: palilov243659
2

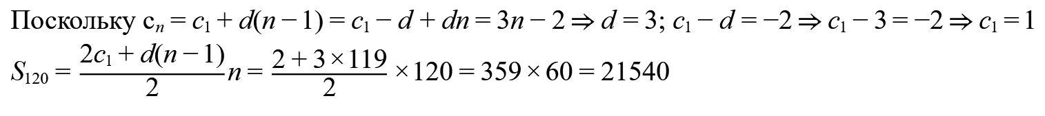
Ответ:

21540

Объяснение:

///////////////////////////////////

Приложения:
Вас заинтересует