34.1) Из Города А в город В выехал Автоубус. Спустя 0,5 часа В след за ним выехал автомобиль. Через 1,1 Часа после своего выхода он обогнал автобус. При этом между ними было 2 км. Найдите скорость автобуса, Если известно, что она на 20 км/ч Меньше скорости автомобиля
Ответы
Ответ дал:
2
Ответ:
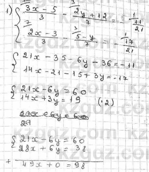
Ответ на фото!
Удачи тебе!
Приложения:
Аноним:
Спасибо, от души Брат
Вас заинтересует
2 года назад
2 года назад
3 года назад
8 лет назад
8 лет назад
10 лет назад
10 лет назад