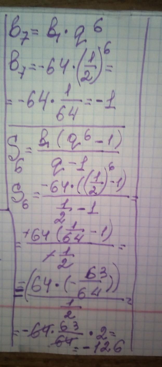
Знайдіть сьомий член і суму шести перших членів геометричної прогресії (bn),якщо b1=-64 і q=1/2
Ответы
Ответ дал:
20
Ответ:
решение смотри на фотографии
Приложения:

Вас заинтересует
2 года назад
2 года назад
2 года назад
2 года назад
8 лет назад
9 лет назад