• Предмет: Алгебра
  • Автор: М0Л0Т0В
  • Вопрос задан 7 лет назад

ХЭЛП ПЖ СРОЧНО АЛГЕБРА!!!!!!!!!!!!!

Приложения:

Ответы

Ответ дал: Universalka
1

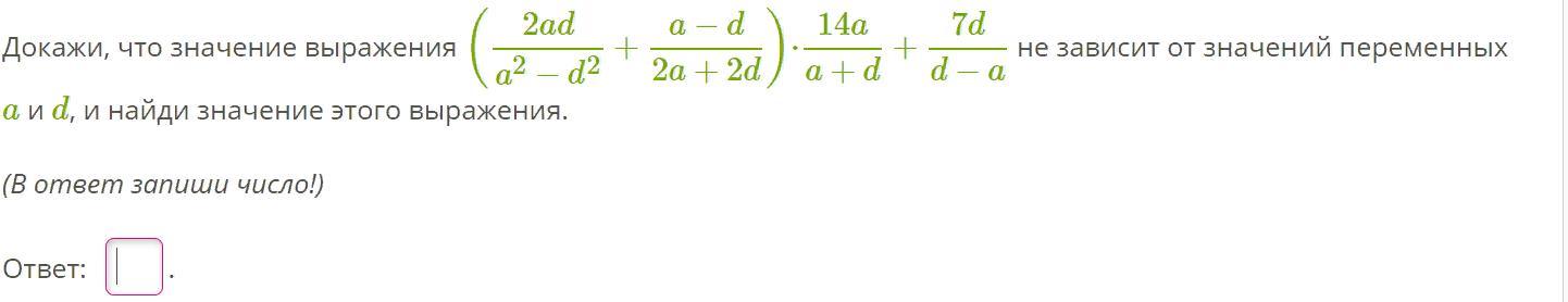
\displaystyle\bf\\1)\\\\\frac{2ad}{a^{2} -d^{2} } +\frac{a-d}{2a+2d}=\frac{2ad}{(a+d)(a-d)} +\frac{a-d}{2(a+d)} =\\\\\\=\frac{2ad\cdot 2+(a-d)\cdot(a-d)}{2(a+d)(a-d)} =\frac{4ad+a^{2}-2ad+d^{2}  }{2(a+d)(a-d)} =\\\\\\=\frac{a^{2}+2ad+d^{2}  }{2(a+d)(a-d)} =\frac{(a+d)^{2} }{2(a+d)(a-d)} =\frac{a+d}{2(a-d)} \\\\\\2)\\\\\frac{a+d}{2(a-d)} \cdot\frac{14a}{a+d} =\frac{7a}{a-d}

\displaystyle\bf\\3)\\\\\frac{7a }{a-d} +\frac{7d}{d-a} =\frac{7a}{a-d} -\frac{7d}{a-d} =\frac{7a-7d}{a-d}=\frac{7(a-d)}{a-d} =7

\displaystyle\bf\\Otvet: \ 7

В ответе нет переменных ,  значит значение выражения от них не зависит .


М0Л0Т0В: СПАСИБО ОГРОМНОЕ!!!!!!!!!
Universalka: Пожалуйста
Вас заинтересует