• Предмет: Математика
  • Автор: nazrinmammadzade09
  • Вопрос задан 7 лет назад

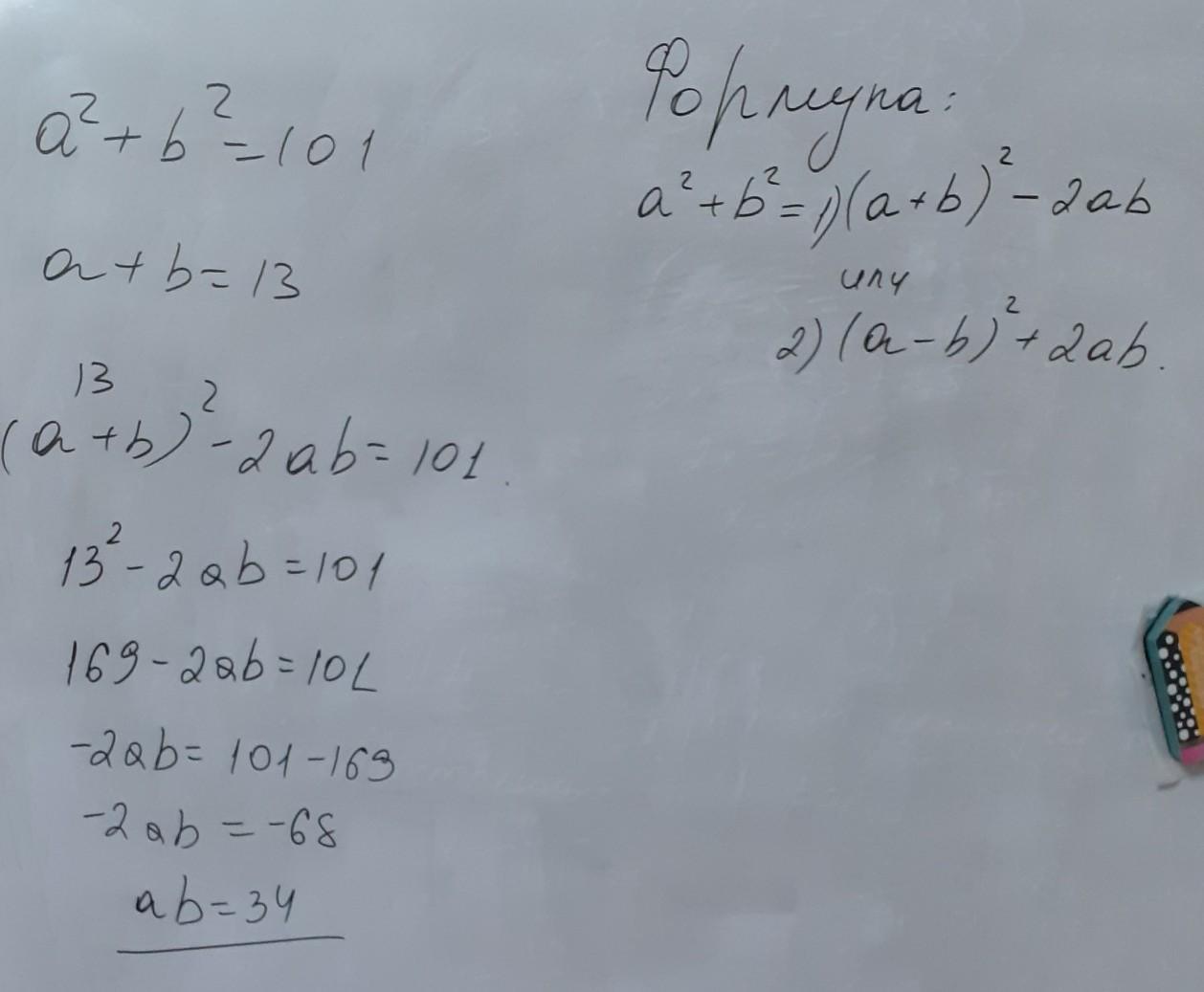
найдите АБ если а²+б²=101 и а+б=13​

Ответы

Ответ дал: veledovaelina
1

Пошаговое объяснение:

формулы которые я написала называються формулами помощниками . Есть 2 выбора , я выбрала 1й потому что мне мыло дано что а+в равно 13. Удачи

Приложения:
Вас заинтересует