5. Знайдіть шостий член геометричной прогресії (b_{s}) якщо a) -2916: 6) 2916; ) - 972 1) 972 b_{1} = - 4, q - 3
Vviikkaa23:
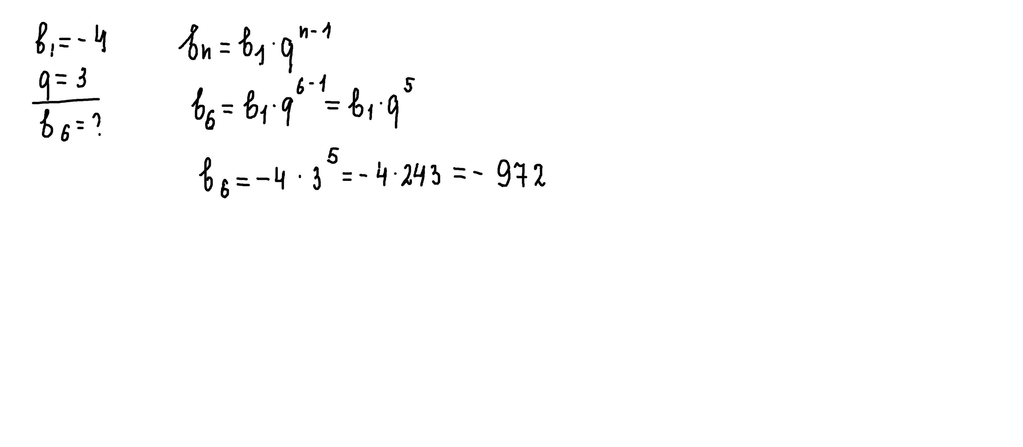
Якщо b1=-4,q=3
Ответы
Ответ дал:
0
Ответ:
в6= -972
Объяснение:
решение внизу
Приложения:
Вас заинтересует
2 года назад
2 года назад
3 года назад
3 года назад
8 лет назад
8 лет назад
10 лет назад
10 лет назад