• Предмет: Алгебра
  • Автор: grebenkinaregina755
  • Вопрос задан 7 лет назад

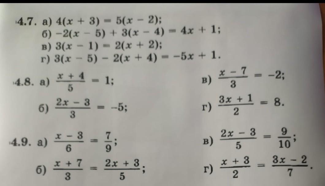
помогите решить пожалуйста ​

Приложения:

Ответы

Ответ дал: lizonchikl
1

Ответ:

4.7

а. -x+22

б. х= -1

в. х - 7

г. х=4


lizonchikl: 4.8 а. х =1, б. х = -6, в. х=1, г. х=5
grebenkinaregina755: спасибки
lizonchikl: 4.9 а. х= 23/3 б. х=26 в. х=15/4 г. х= -25
Вас заинтересует