Ответы
Ответ дал:
0
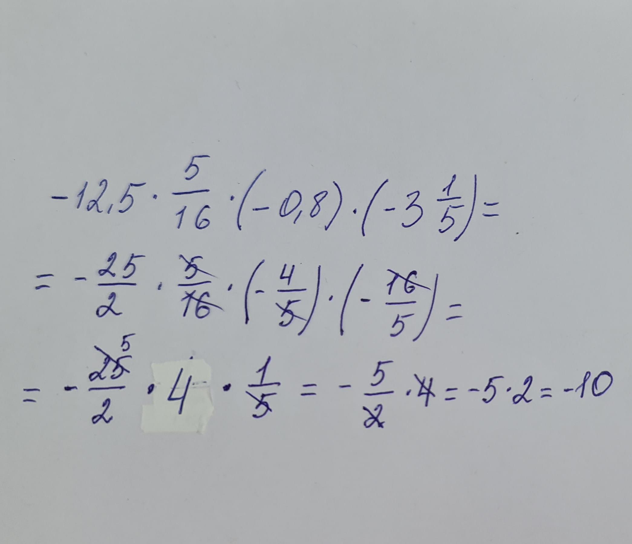
Ответ:
-10
Пошаговое объяснение:
смотри в прикрепленном файле.
Приложения:

Вас заинтересует
2 года назад
2 года назад
2 года назад
2 года назад
8 лет назад
8 лет назад
9 лет назад