• Предмет: Математика
  • Автор: Sjsejxjd
  • Вопрос задан 7 лет назад

Обчислень інтеграли, будь ласка
8,9,10

Приложения:

Ответы

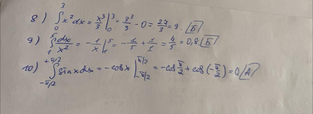
Ответ дал: yevheniiavz
1

смотрите фото................

Приложения:
Вас заинтересует