Таблица первообразных (минимум 30 функций)
itsnight69:
так много нет, можно самому просто дополнить таблицу стандартных функции уже необычными функциями, вот тебе и 30 функций
какой это уже по счёту вопрос, где мы пересеклись?
Ответы
Ответ дал:
0
Ответ:
Пошаговое объяснение:
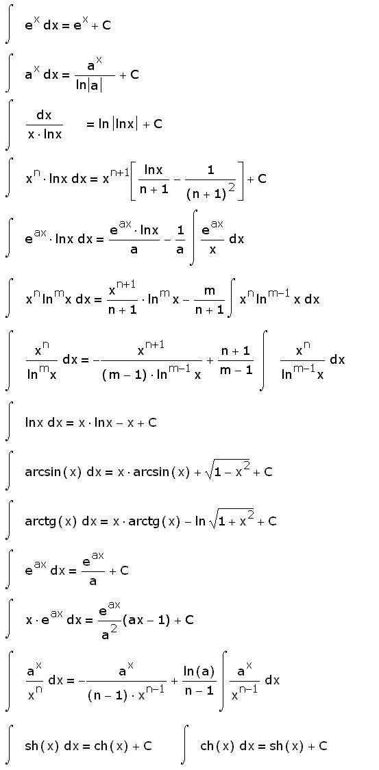
тут штук 50 будет, надеюсь хватит
Приложения:



Вас заинтересует
2 года назад
2 года назад
2 года назад
2 года назад
8 лет назад
8 лет назад
9 лет назад