Ответы
Ответ дал:
1
Ответ:
1)
2)
3)
объяснение:
1)
2)
3)
Ответ дал:
1
Ответ:
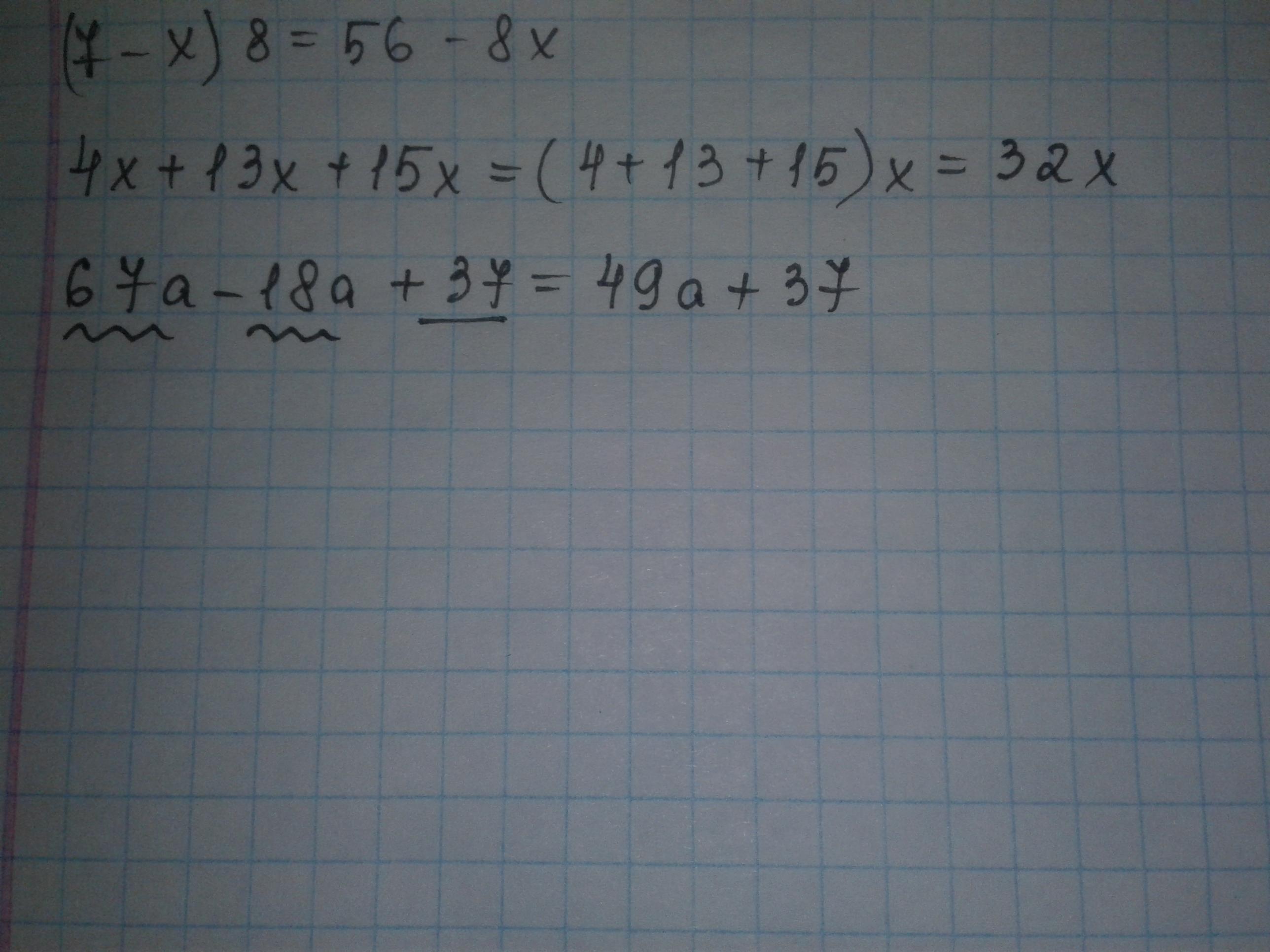
Смотри фото ниже.
Пошаговое объяснение:
Приложения:

Вас заинтересует
2 года назад
2 года назад
8 лет назад
9 лет назад
9 лет назад