• Предмет: Алгебра
  • Автор: inka382
  • Вопрос задан 7 лет назад

ПОМОГИТЕ СРОЧНО, ПОЖАЛУЙСТА!!!!!
Нужно решить примеры и ответы написаны какое они должны быть

Приложения:

Ответы

Ответ дал: Vivernar
0

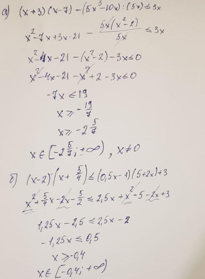
Ответ:

a) x ∈ [-2 5/7;0) ∪ (0;+∞)

б) х ∈ [-0,4;+∞)

Объяснение:

Линейное неравенство.

Ограничение: в знаменателе 0 не может быть поэтому 5х≠0⇒х≠0

a) x ∈ [-2 5/7;0) ∪ (0;+∞)

б) х ∈ [-0,4;+∞)

Приложения:
Вас заинтересует