• Предмет: Математика
  • Автор: ArsenTurar001
  • Вопрос задан 7 лет назад

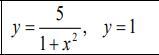
Необходимо вычислить площадь фигуры, ограниченную нижеприведенными линиями.
даю 100 баллов

Приложения:

Ответы

Ответ дал: Quaternion
1

Ответ:

10arctg(2) - 4

Пошаговое объяснение:

  1. Для начала построим схематично заданные кривую и прямую.
  2. Найдём точки пересечения. Ограничений на x нет. Получаем
    x = ±2.
  3. Вычислим двойной интеграл. В пределах интегрирования по y - заданные в условии линии, по x - найденные точки пересечения. На этом шаге также можно использовать формулу:
    S = \int\limits^a_b {(f(x) - g(x))} \, dx
    Кроме того, можно поменять нижний предел интегрирования по x на 0 и результат удвоить, так как получившаяся фигура симметрична относительно оси ординат.
Приложения:
Вас заинтересует