Ответы
Ответ дал:
1
Пошаговое объяснение:
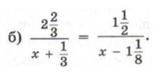
с начала я перевела дроби в правильный вид . потом привела к общему знаменателю . далее воспользовалась нижеуказанной формулой. а далее поработала крестообразным способом . из за того что с обоих сторон равенства есть 24 и они с одинаковым знаком , то есть положительные я их сократила , а потом перевела неизвестные в одну а известные в другую сторону .
Приложения:

Akumayd:
спасибо
Ответ дал:
1
Ответ:
х1 2 2/3-1 1/8= теперь надо х2 1 1/2-1/3 и все и это все
Вас заинтересует
2 года назад
8 лет назад