• Предмет: Алгебра
  • Автор: dimakras666
  • Вопрос задан 7 лет назад

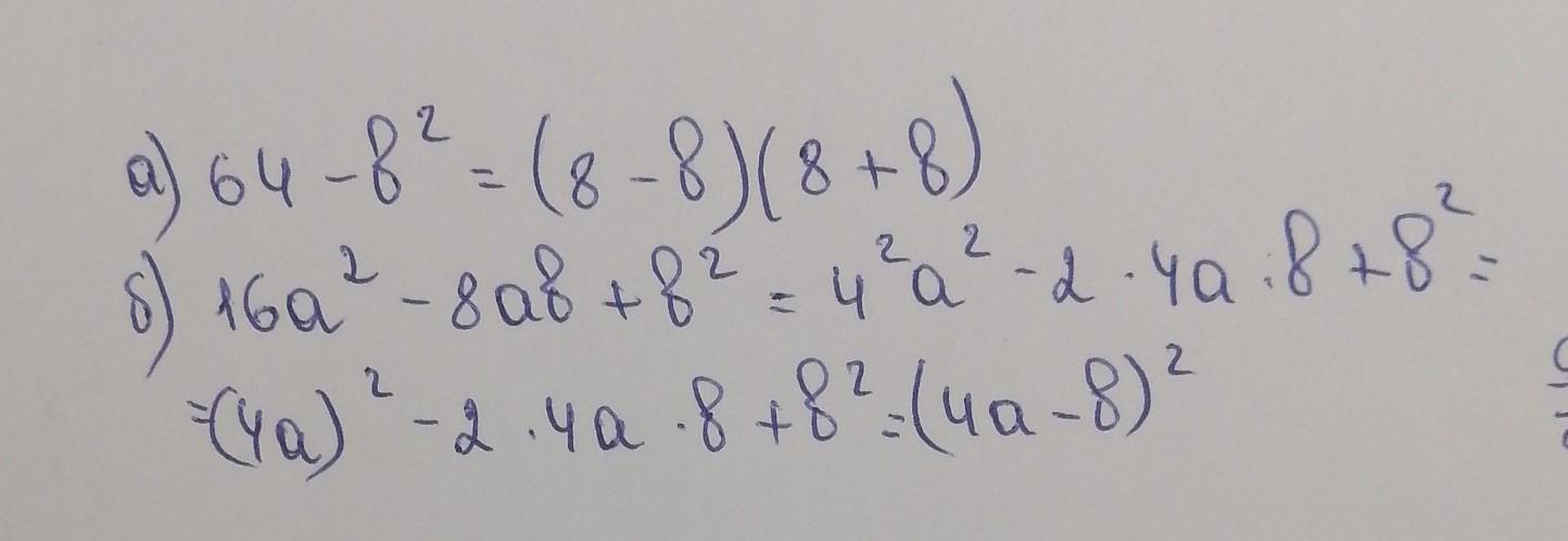
3. Разложите на множители: а) 64 – b^2; б) 16a^2 – 8ab + b^2.

Ответы

Ответ дал: vikasuhareva2001
1

Ответ:

Решение на фото)......................

Приложения:
Вас заинтересует