• Предмет: Математика
  • Автор: valeria4588
  • Вопрос задан 7 лет назад

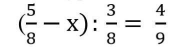
решите пожалуйста!!!​

Приложения:

Ответы

Ответ дал: kwintadp12
1

Ответ:

Пошаговое объяснение:

Приложения:
Вас заинтересует