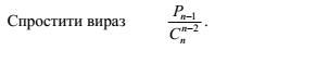
• Предмет: Математика
  • Автор: DimaMrichko
  • Вопрос задан 7 лет назад

Срочно надо !!!
СПАСИБО!!

Приложения:

Ответы

Ответ дал: abdurrahmonciter
0

Ответ:

Pn=1+Cn=2 PCn=3÷2÷1=1,5

PCn=1,5

Надеюсь правильно

Вас заинтересует