• Предмет: Математика
  • Автор: nakovleva
  • Вопрос задан 7 лет назад

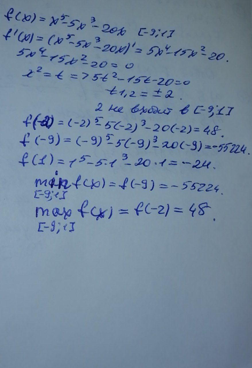
нйдите наибольшее и наименьшее значение функции в отрезке
x^5-5x^3-20x , [-9;1]

Ответы

Ответ дал: yevheniiavz
1

смотрите фото...................................

Приложения:
Вас заинтересует