Ответы
Ответ дал:
2
Пошаговое объяснение:
Приложения:

Ответ дал:
1
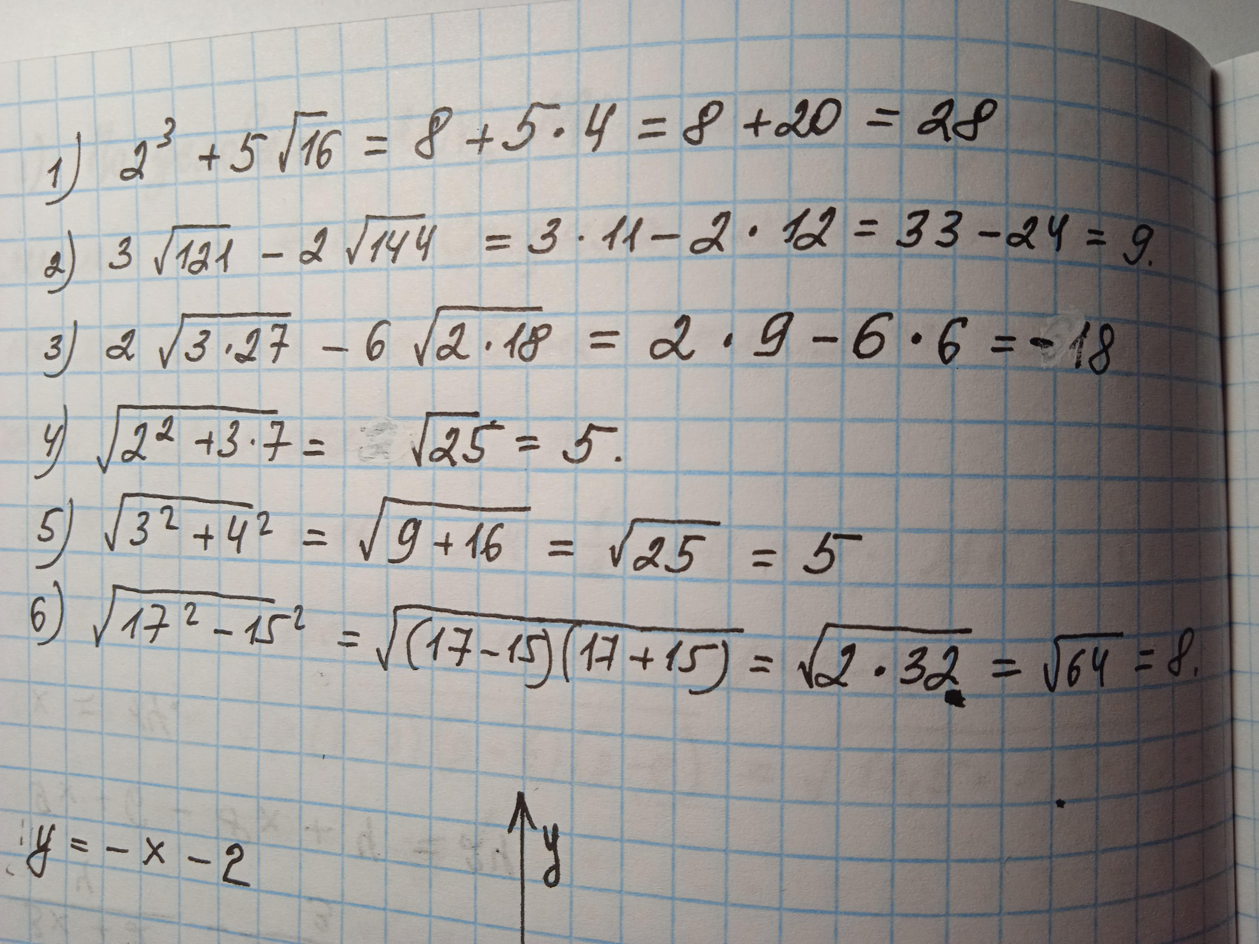
1. 2³+5√16=2*2*2+5*4=8+20=28
2. 3√121-2√144=3*11-2*12=33-24=9
3. 2*√(3*3*9)-6√(2*2*9)=2*9-6*2*3=18-36=-18
4.√(2²+3*7)=√(4+21)=√25=5
5. √(3²+4²)=√(9+16)=√25=5
6.√(17²-15²)=√(32*2)=√64=8
Вас заинтересует
2 года назад
2 года назад
2 года назад
8 лет назад
8 лет назад
9 лет назад