ДАЮ 40 БАЛЛОВ !!!! СРОЧННООО
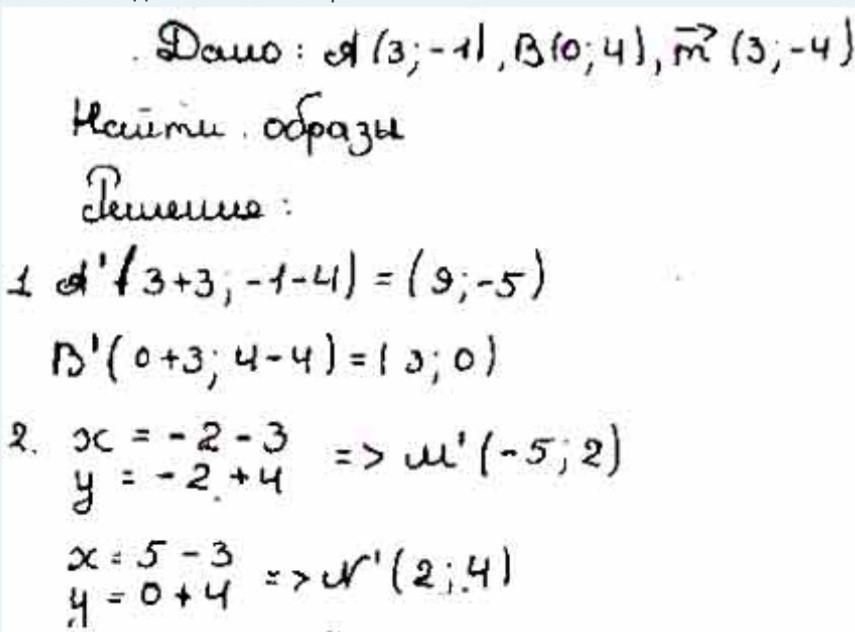
Найдите точки, являющиеся образами точек А(3;-1), B(0; 4), C(-2;0) при параллельном переносе на вектор m(3;-4). Образами каких точек при таком параллельном переносе являются точки M(-2:1). N(5:0). P(0:-3)?
Ответы
Ответ дал:
1
Найдите точки, являющиеся образами точек А(3;-1), B(0; 4), C(-2;0) при параллельном переносе на вектор m(3;-4). Образами каких точек при таком параллельном переносе являются точки M(-2:1). N(5:0). P(0:-3)?
Приложения:

Вас заинтересует
2 года назад
2 года назад
2 года назад
2 года назад
8 лет назад
8 лет назад
9 лет назад