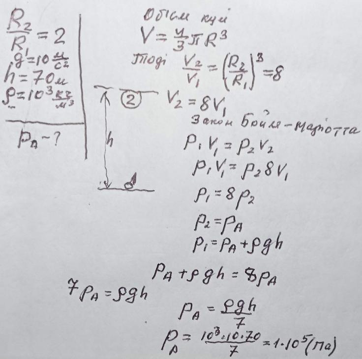
З дна озера глибиною 70 м спливає повітряна бульбашка. Радіус бульбашки при цьому збільшився вдвічі. Визначте атмосферний тиск. Температуру по всій глибині озера вважати сталою.
Ответы
Ответ дал:
0
Ответ: 10⁵ Па
Объяснение: Див. додаток
Приложения:

hopkinsbaka:
Здравствуйте, помогите пожалуйста с вопросом по физике!
Вас заинтересует
2 года назад
2 года назад
2 года назад
2 года назад
8 лет назад
9 лет назад