• Предмет: Математика
  • Автор: dulinroman9
  • Вопрос задан 7 лет назад

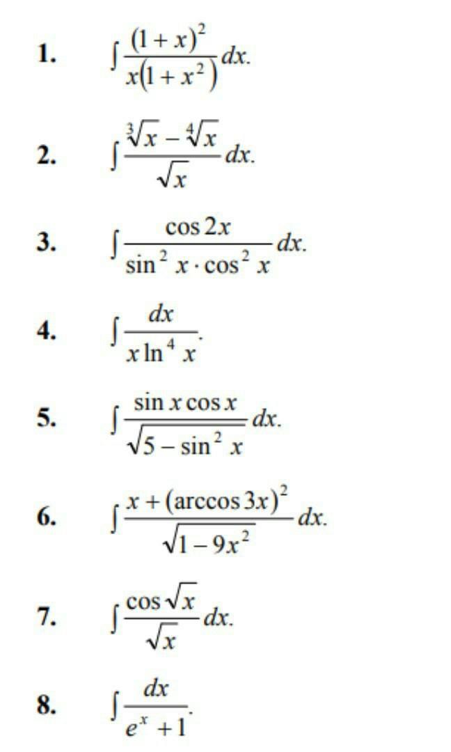
решить методом беспосереднього Інтегрування Помогите решить пожалуйста!!

Приложения:

Ответы

Ответ дал: lvv9136
1

Ответ:

см фото

Пошаговое объяснение:

Приложения:
Вас заинтересует