• Предмет: Алгебра
  • Автор: bc5fn2qy8h
  • Вопрос задан 7 лет назад

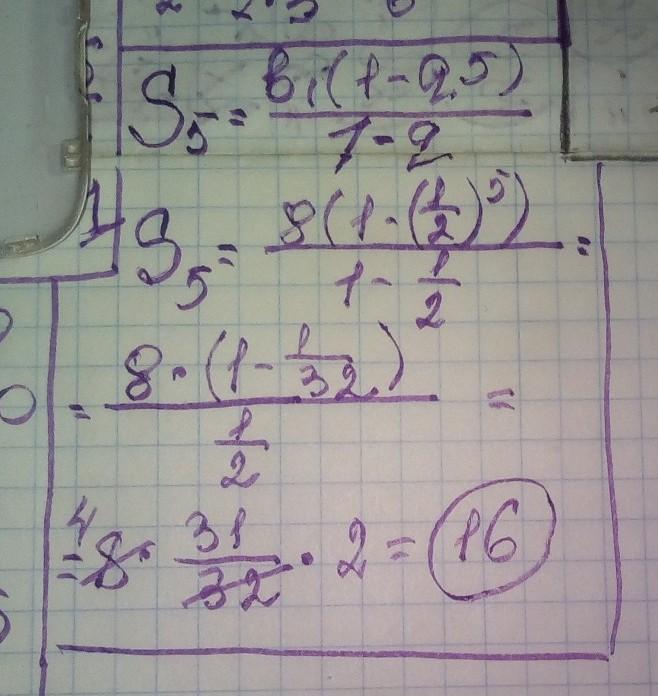
Знайти суму п’яти перших членів геометричної прогресії, якщо b1=8,q=1/2
Терміново!!!!!!

Ответы

Ответ дал: manyny06
1

Ответ:

решение смотри на фотографии

Приложения:
Ответ дал: p15
1

Ответ:

S=b1(1-qⁿ)/(1-q)=8(1-(1/2)⁶)/1/2=8*31/32*2=31/2=15.5

И это ПРАВИЛЬНЫЙ ответ. можете посчитать на пальцах

8+4+2+1+1/2=...

Вас заинтересует