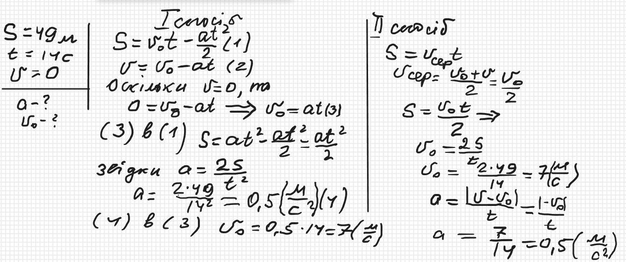
будь ласка !! Ліфт телевізійної вежі перед зупинкою, рухаючись рівноприскорено зі сповільненням, проходить 49 м за 14 с. знайти прискорення ліфта під час гальмування та його швидкість на початку гальмування
zybkov1950:
Не вистачає даних
Ответы
Ответ дал:
1
Ответ: 0,5 м/с² 7 м/с
Объяснение: Див. додаток
Приложения:

Вас заинтересует
2 года назад
2 года назад
2 года назад
2 года назад
8 лет назад
8 лет назад
9 лет назад