• Предмет: Математика
  • Автор: newalex2009
  • Вопрос задан 7 лет назад

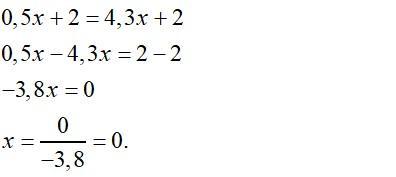
Реши уравнение 0,5x+2=4,3x+2

Ответы

Ответ дал: yevheniiavz
0

смотрите фото.....................

Приложения:
Ответ дал: minecraftandreyko69
1

0,5x+2=4,3x+2

0,5x-4,3x=2-2

-3,8х=0

x=0


Аноним: Отметь это решение как лучшее
Вас заинтересует