• Предмет: Математика
  • Автор: lenakim02
  • Вопрос задан 10 лет назад

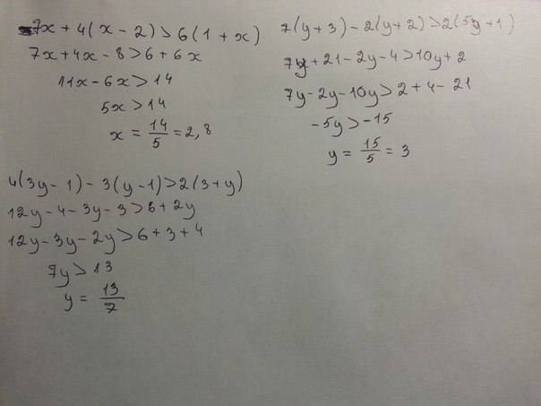
решите неравенство
7x+4(x-2)>6(1+x)
7(y+3)-2(y+2)>2(5y+1)
4(3y-1)-3(y-1)>2(3+y) помогите пожалуйста 

Ответы

Ответ дал: alinaa24
0
попробовала,не знаю ,верно или нет ...но 2 точно думаю что правильный
Приложения:
Ответ дал: lenakim02
0
решите неравенство
Ответ дал: alinaa24
0
нкакое давай
Ответ дал: lenakim02
0
-3<1+2x<7
Ответ дал: alinaa24
0
забыла уже как такое решается
Ответ дал: lenakim02
0
блин помоги плиз
Вас заинтересует