Ответы
Ответ дал:
0
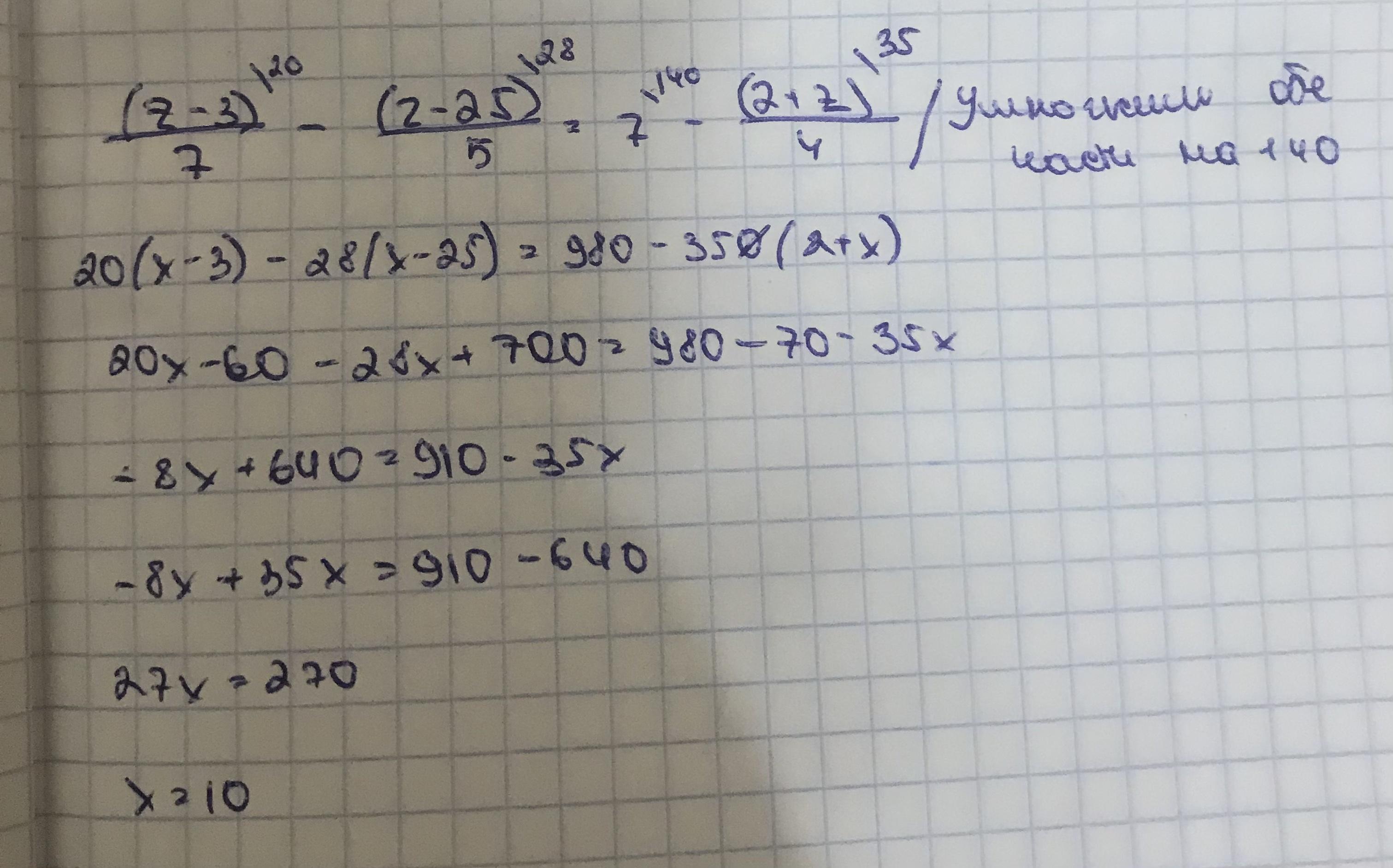
-8z+640=910-35z
-8z+35z=910-640
z=10
-8z+35z=910-640
z=10
Ответ дал:
1
Ответ:
Х=10
Пошаговое объяснение:
Приложения:

marynacat:
В какой-то момент перешла на х, просто пишите z
Вас заинтересует
2 года назад
2 года назад
2 года назад
8 лет назад
8 лет назад