• Предмет: Геометрия
  • Автор: andrewkuriato
  • Вопрос задан 7 лет назад

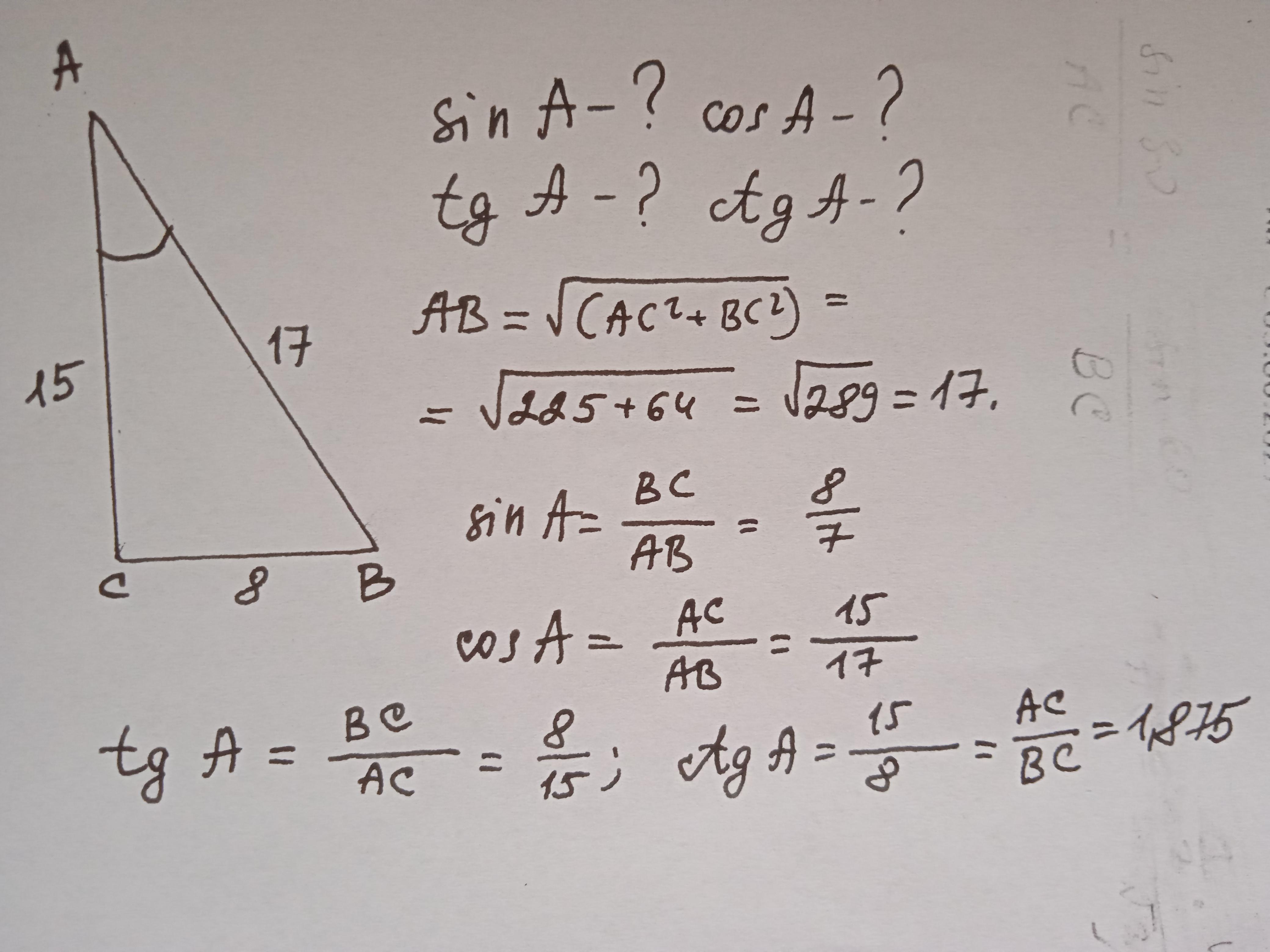
І варіант 1.Знайти синус, косинус, тангенс, котангенс меншого кута прямокутного трикутника, катети якого дорівнюютьсм 15 і 8 см.​

Ответы

Ответ дал: Пеппер
2

Ответ:

на фото

Объяснение:

Приложения:

Domashkaopr: Здравствуйте пожалуйста можете мне помочь с геометрией
Вас заинтересует