• Предмет: Математика
  • Автор: Аноним
  • Вопрос задан 7 лет назад

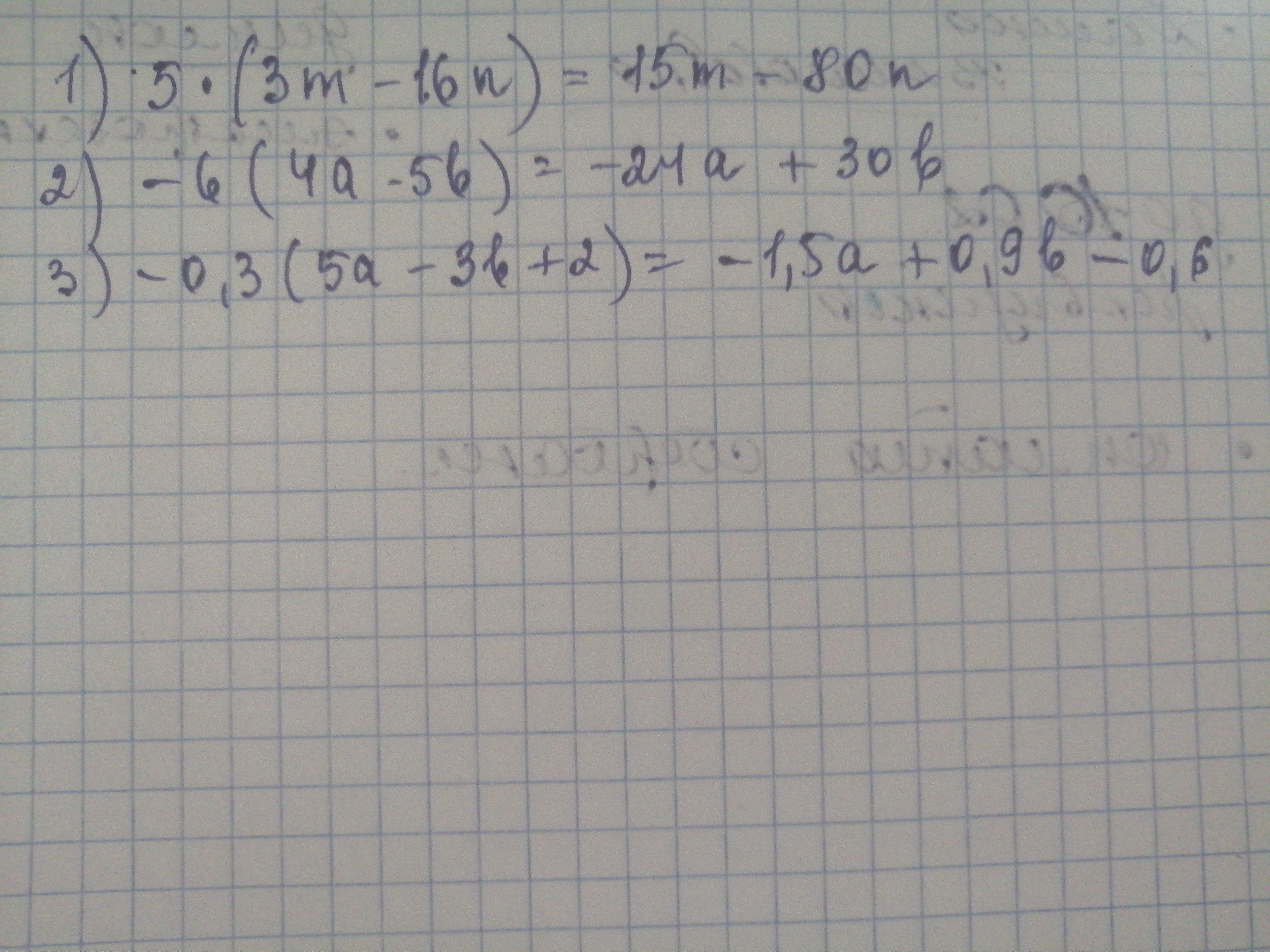
Розкрити дужки: 1) 5*(3m-16n) 2) -6*(4a-5b) 3) -0.3*(5a-3b+2)

Ответы

Ответ дал: Svita14
1

Ответ:

1) 5*(3m-16n) = 15m-80n

2) -6*(4a-5b) = -24a+30b

3) -0,3*(5a-3b+2)= -1,5a+0,9b-0,6

Ответ дал: skripchenko1979
1

Ответ:

Пошаговое объяснение:

Приложения:
Вас заинтересует