Ответы
Ответ дал:
1
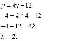
дивіться фото..................
Приложения:

Аноним:
здравствуйте вы не могли бы мне помочь с геометрией пожалуйста
Вас заинтересует
2 года назад
2 года назад
8 лет назад
9 лет назад