4. Резистори опором 600 Ом і 800 Ом приєдна-
ли паралельно до джерела струму. Порів-
няйте потужності на кожному резисторі.
Будь ласка, допоможіть! Але щоб було дано! Будь ласка
Ответы
Ответ дал:
1
Ответ:
Мощность рассеиваемая в 1 резисторе P1=U*I1=U²/R1=U²/600 Вт. Мощность рассеиваемая в 2 резисторе P2=U*I2=U²/R2=U²/800 Вт. Так как U²/600>U²/800, то мощность, рассеиваемая в 1 резисторе (600 Ом) больше мощности, рассеиваемой во 2 резисторе (800 Ом).
Ответ дал:
5
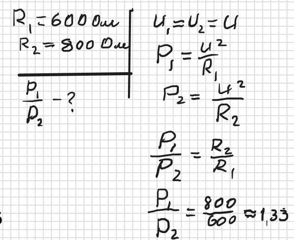
Ответ: Потужність на резисторі опором 600 Ом в 1,33 рази більша потужності на резисторі опором 800 Ом
Объяснение: Див. додаток
Приложения:

Вас заинтересует
2 года назад
2 года назад
2 года назад
2 года назад
8 лет назад
9 лет назад
9 лет назад