• Предмет: Алгебра
  • Автор: oksana150520
  • Вопрос задан 7 лет назад

Помогите решить пожалуйста!!!!!!!

Приложения:

Ответы

Ответ дал: ankarolina
0

Ответ:

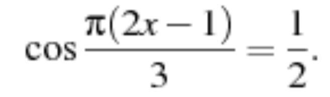
cos П(2x-1)/3=1/2

 П(2x-1)/3=-π/3+2πk U π(2x-1)/3=π/3+2πk

2x-1=-1+6k U 2x-1=1+6k

2x=6k U 2x=2+6k

x=3k U x=1+3k.k∈z

Вас заинтересует