• Предмет: Физика
  • Автор: juliazhdanowa
  • Вопрос задан 7 лет назад

Терміново потрібна допомога!! ​

Приложения:

Ответы

Ответ дал: zybkov1950
0

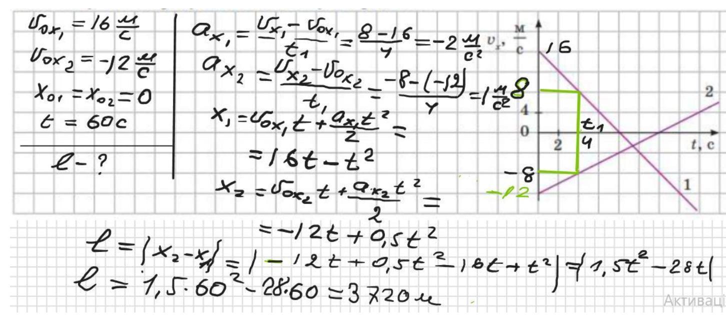
Ответ: Див. додаток

Объяснение: Див. додаток

Приложения:
Вас заинтересует