• Предмет: Алгебра
  • Автор: albakovabdulaziz
  • Вопрос задан 7 лет назад

даю 50 балов помогите пожалуйста

Приложения:

jootaro: там будет 15/12

Ответы

Ответ дал: arsik32
1

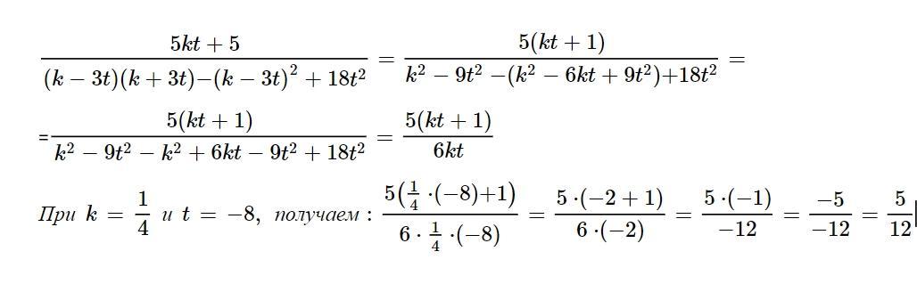
Решение на фото №1. Формулы, использованные для решения, на фото №2.

Ответ: 5/12

Приложения:

albakovabdulaziz: спасибо огромное
albakovabdulaziz: поможешь последним решениям?
Ответ дал: jootaro
1

Ответ:

всё на фото...................

Приложения:

albakovabdulaziz: спасибо
albakovabdulaziz: поможешь с последним решениям?
Вас заинтересует