• Предмет: Алгебра
  • Автор: Reideen
  • Вопрос задан 7 лет назад

Задание приложено...

Приложения:

Ответы

Ответ дал: mathkot
1

Ответ:

Метод математической индукции:

Для того, чтобы доказать, что некоторое утверждение верно при натуральном n необходимо выполнить следующие условия:

База индукции:

  • 1) Доказать, что утверждение верно при n = 1 (или для любого другого конкретного натруального p, тогда утверждение будет доказано от p и до всех последюущих натуральных n если удастся доказать индуктивный переход).

Индуктивный переход:

  • 2) Сделать гипотезу, что утверждение верно для n = k и на основании данной гипотезы доказать, что утверждение верно для n = k + 1

Если выполнены утверждения 1) и 2), то исходное утверждение доказано для всех натуральных nметодом математической индукции.

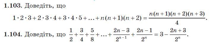
1.103

Воспользуемся методом математической индукции:

1 \cdot 2 \cdot 3 + 2 \cdot 3 \cdot 4 + 3 \cdot 4 \cdot 5 + \ldots +  n(n + 1)(n + 2) = \dfrac{n(n + 1)(n + 2)(n + 3)}{4}

База индукции:

n = 1;

1 \cdot 2 \cdot 3 = 6= \dfrac{1(1 + 1)(1 + 2)(1 + 3)}{4} = \dfrac{2 \cdot 3 \cdot 4}{4} = 2 \cdot 3 = 6 - верно

Индуктивный переход:

n = k;

\boxed{1 \cdot 2 \cdot 3 + 2 \cdot 3 \cdot 4 + 3 \cdot 4 \cdot 5 + \ldots +  k(k + 1)(k + 2) = \dfrac{k(k + 1)(k + 2)(k + 3)}{4}}

(пусть верно)

Необходимо доказать:

n = k + 1;

1 \cdot 2 \cdot 3 + 2 \cdot 3 \cdot 4 + 3 \cdot 4 \cdot 5 + \ldots +  k(k + 1)(k + 2) +(k + 1)(k + 1 + 1)(k + 1 +2)   =

=  \dfrac{( k + 1)(k + 1+ 1)(k + 1 + 2)(k + 1 + 3)}{4}

\underbrace{ 1 \cdot 2 \cdot 3 + 2 \cdot 3 \cdot 4 + 3 \cdot 4 \cdot 5 + \ldots +  k(k + 1)(k + 2)}_{ \dfrac{k(k + 1)(k + 2)(k + 3)}{4} } +(k + 1)(k + 2)(k + 3)   =

=  \dfrac{( k + 1)(k +2)(k + 3)(k + 4)}{4}

\dfrac{k(k + 1)(k + 2)(k + 3)}{4} + (k + 1)(k + 2)(k + 3)   =   \dfrac{( k + 1)(k +2)(k + 3)(k + 4)}{4}

(разделим обе части на положительное число ( k + 1)(k +2)(k + 3))

\dfrac{k}{4} + 1  =   \dfrac{(k + 4)}{4}

\dfrac{k}{4} + \dfrac{4}{4}   =   \dfrac{k + 4}{4}

\dfrac{k + 4}{4} = \dfrac{k + 4}{4}

Так как правую и левую часть тождества

\dfrac{k(k + 1)(k + 2)(k + 3)}{4} + (k + 1)(k + 2)(k + 3)   =   \dfrac{( k + 1)(k +2)(k + 3)(k + 4)}{4}

путем равносильных преобразований удалось свести к равному выражению \bigg ( \dfrac{k + 4}{4} = \dfrac{k + 4}{4} \bigg), тогда первоначально утверждение доказано методом математической индукции.

1.104

Воспользуемся методом математической индукции:

\displaystyle \frac{1}{2} + \frac{3}{4} +  \frac{5}{8} + \ldots + \frac{2n - 3}{2^{n - 1}} + \frac{2n - 1}{2^{n}} = 3 - \frac{2n + 3}{2^{n}}

База индукции:

n = 1;

\displaystyle \frac{1}{2}  = 3 - \frac{2 \cdot 1 + 3}{2^{1}} = 3 - \frac{2 + 3}{2} = \frac{6}{2}  - \frac{5}{2} = \frac{6 -5}{2} = \frac{1}{2} - верно

Индуктивный переход:

n = k;

\boxed{ \displaystyle \frac{1}{2} + \frac{3}{4} +  \frac{5}{8} + \ldots + \frac{2k - 3}{2^{k - 1}} + \frac{2k - 1}{2^{k}} = 3 - \frac{2k + 3}{2^{k}}} - пусть верно

Необходимо доказать:

n = k + 1;

\displaystyle \frac{1}{2} + \frac{3}{4} +  \frac{5}{8} + \ldots + \frac{2k - 3}{2^{k - 1}} + \frac{2k - 1}{2^{k}} + \frac{2(k + 1) - 1}{2^{k + 1}} = 3 - \frac{2(k + 1) + 3}{2^{k + 1}}

\displaystyle \frac{1}{2} + \frac{3}{4} +  \frac{5}{8} + \ldots + \frac{2k - 3}{2^{k - 1}} + \frac{2k - 1}{2^{k}} + \frac{2k + 2 - 1}{2^{k} \cdot 2^{1}} = 3 - \frac{2k + 2 + 3}{2^{k}  \cdot 2^{1}}

\displaystyle \underbrace{ \frac{1}{2} + \frac{3}{4} +  \frac{5}{8} + \ldots + \frac{2k - 3}{2^{k - 1}} + \frac{2k - 1}{2^{k}}}_{\bigg 3 \bigg - \dfrac{2k + 3}{2^{k}}}} + \frac{2k + 1}{2 \cdot 2^{k }} = 3 - \frac{2k + 5}{2 \cdot 2^{k}}

\displaystyle  3 - \frac{2k + 3}{2^{k}} + \frac{2k + 1}{2 \cdot 2^{k }} = 3 - \frac{2k + 5}{2 \cdot 2^{k}}

\displaystyle   \frac{2k + 5}{2 \cdot 2^{k}}  + \frac{2k + 1}{2 \cdot 2^{k }} =  \frac{2k + 3}{2^{k}}

\displaystyle   \frac{2k + 5 + 2k + 1}{2 \cdot 2^{k}}   =  \frac{2k + 3}{2^{k}}

\displaystyle   \frac{4k + 6 }{2 \cdot 2^{k}}   =  \frac{2k + 3}{2^{k}}

\displaystyle   \frac{2(2k + 3) }{2 \cdot 2^{k}}   =  \frac{2k + 3}{2^{k}}

\displaystyle \frac{2k + 3}{2^{k}} = \frac{2k + 3}{2^{k}}

Так как правую и левую часть тождества

\displaystyle  3 - \frac{2k + 3}{2^{k}} + \frac{2k + 1}{2 \cdot 2^{k }} = 3 - \frac{2k + 5}{2 \cdot 2^{k}}

путем равносильных преобразований удалось свести к равному выражению \bigg ( \displaystyle \frac{2k + 3}{2^{k}} = \frac{2k + 3}{2^{k}}\bigg), тогда первоначально утверждение доказанометодом математической индукции.

Вас заинтересует