• Предмет: Алгебра
  • Автор: AndreySW
  • Вопрос задан 3 года назад

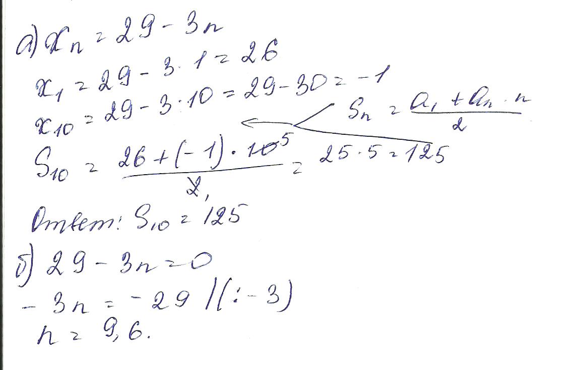
Помогите пожалуйста;    Арифметическая прогрессия задана формулой
Хn = 29-3n.

а) Найдите сумму первых 10 членов прогрессии.
б) Сколько в данной прогрессии положительных членов?    если можно, то решением) 

Ответы

Ответ дал: kinder1ks
1
задание "б". за правильность не ручаюсь, т.к. в школе этого не проходили еще. мое решение по образцу. здесь n=9,6 округляем до 9, значит в данной прогрессии 9 положительных членов.
Приложения:

AndreySW: спасибо
Вас заинтересует