• Предмет: Алгебра
  • Автор: Anyaromantika
  • Вопрос задан 3 года назад

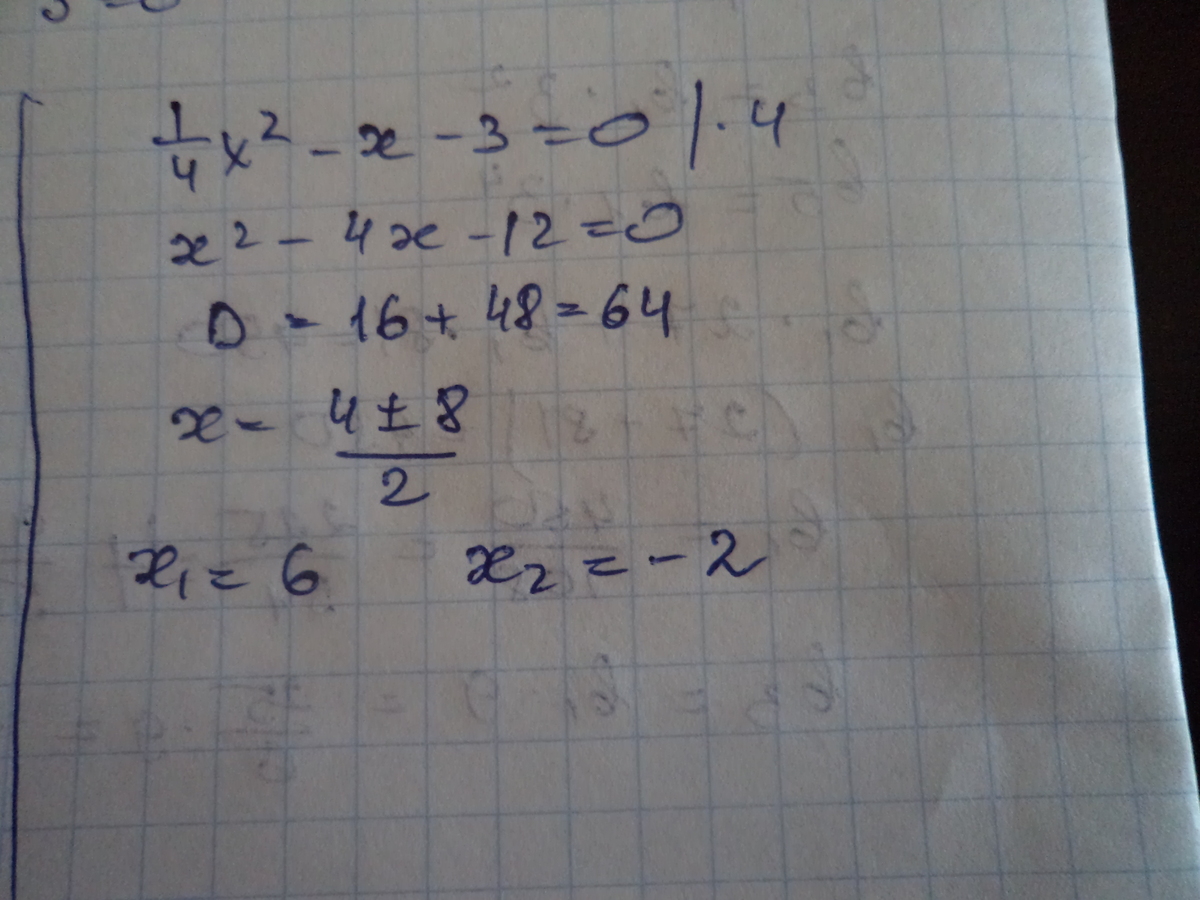
Решите уравнение : одна 4 х Во 2- х-3=0

Ответы

Ответ дал: Mydrый
1
решениеееееееееееееееееееееееееееее
Приложения:
Ответ дал: 2407Alexa
0
¼x²-x-3=0|*4 x²-4x-12=0 D=(-4)²-4*1*(-12)=16+48=64=√64=8 x1=(-(-4)+8)/2*1=12/2 x1=6 x2(-(-4)-8)/2=-4/2 x2=-2
Вас заинтересует