• Предмет: Алгебра
  • Автор: kostaulin846
  • Вопрос задан 7 лет назад

помогите решить уравнение

Приложения:

Ответы

Ответ дал: kairtayrauan
0

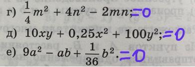
г)

Д= 4n²-4×4n²×1/4= 0

m= 2n/(2×1/4)= 4n

д) D= 100y²-4×100y×0,25=0

x= -10y/(2×0.25)= -20y

е) D= b²-4×9×1/36b²=0

a= b/(2×9)= b/18

Вас заинтересует