• Предмет: Алгебра
  • Автор: vikapiskozub97
  • Вопрос задан 7 лет назад

ПОМОГИТЕ ПОЖАЛУСТА
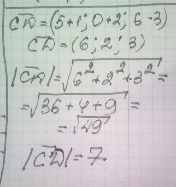
дано точки C(-1;-2;3) и D(5;0;6) Знайдіть:
1) координати вектора CD
2) модуль вектора CD ​

Ответы

Ответ дал: manyny06
2

Ответ:

решение смотри на фотографии

Приложения:
Вас заинтересует