Ответы
Ответ дал:
0
https://photomath.net/s/nRrnO
bymbym222333:
это я знаю, мне нужно решение
Ответ дал:
0
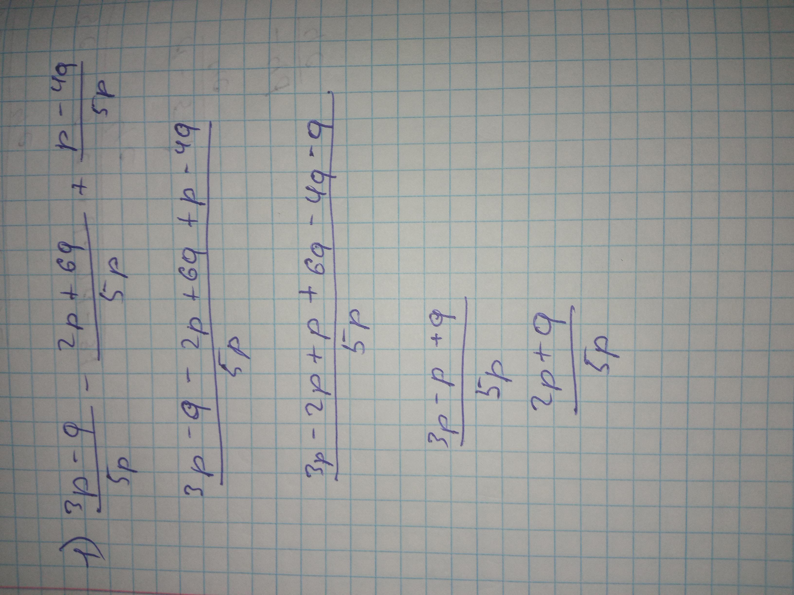
Ответ: ответ в фотографиях
Объяснение:
Объяснение:
Приложения:


Вас заинтересует
2 года назад
2 года назад
2 года назад
8 лет назад
9 лет назад