• Предмет: Физика
  • Автор: Аноним
  • Вопрос задан 7 лет назад

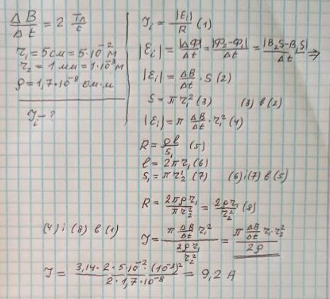
Мідне дротяне кільце розташовано горизонтально в однородному вертикальному магнітному полі. Магнітна індукція поля змінюється зі швидкістю 2Тл/с. Який індукційний струм у кільці, якщо радіус кільця дорівнює 5см, а радіус дроту 1мм. ​

Ответы

Ответ дал: zybkov1950
1

Ответ: 9,2 А

Объяснение:

Приложения:
Вас заинтересует