Ответы
Ответ дал:
0
Объяснение:
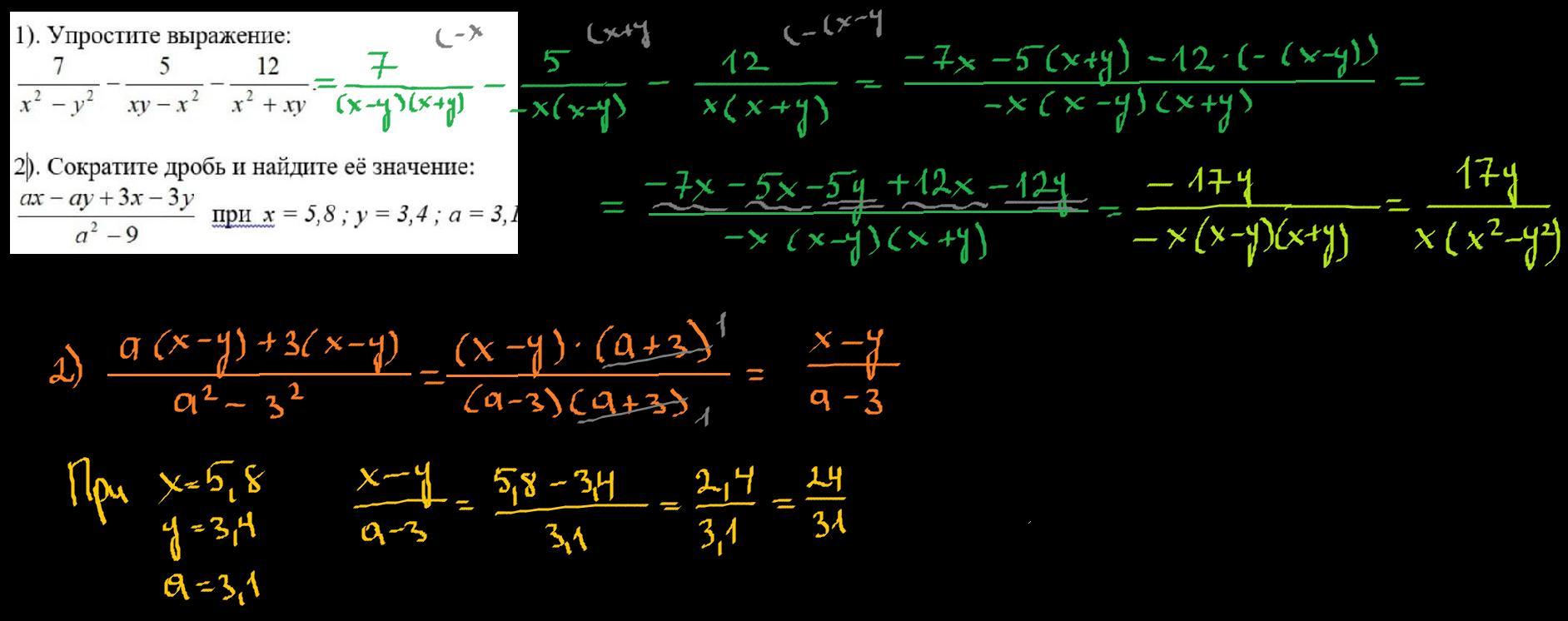
Решение на фото!
Приложения:

egananadzieva:
спасибо
Вас заинтересует
2 года назад
2 года назад
2 года назад
8 лет назад
8 лет назад
9 лет назад