• Предмет: Математика
  • Автор: almazalmazov706
  • Вопрос задан 7 лет назад

ПОМОГИТЕ ПОЖАЛУЙСТА

Приложения:

Ответы

Ответ дал: magamedabbasly90
1

Ответ:

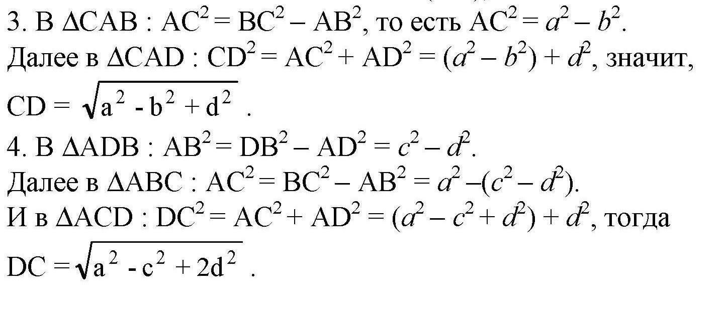
1. В ΔАВС:

2. В ΔABD:

вот так вот

Приложения:
Вас заинтересует