Ответы
Ответ дал:
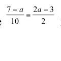
1
Пошаговое объяснение:
................................
Приложения:

maksimkogut04022008:
Спасибо большое
Вас заинтересует
2 года назад
2 года назад
2 года назад
2 года назад
9 лет назад
9 лет назад