• Предмет: Математика
  • Автор: foresthacker205
  • Вопрос задан 7 лет назад

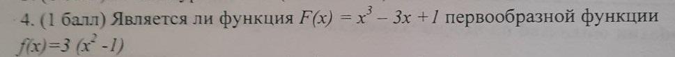
Помогите решить пожалуйста !!! Желательно с ходом действий решения!

Приложения:

Ответы

Ответ дал: manyny06
4

Ответ:

решение смотри на фотографии

Приложения:
Вас заинтересует